| Network global properties |
|---|
| Regulators (kout > 0) | – | 51 (19.2%) |
| Structural genes (kout = 0) | – | 215 (80.8%) |
| Undirected regulatory links | – | 380 |
| Directed regulatory interactions | – | 381 |
| Self-regulations | – | 16 (31.4%) |
| Maximum out-connectivity | – | 74 (27.8%) |
| Network density | – | 0.005385 |
| Weakly connected components | – | 13 |
| Genes in the giant component | – | 208 (78.2%) |
| Feedforward circuits | – | 46 |
| Complex feedforward circuits | – | 2 |
| 3-Feedback loops | – | 0 |
| Average path length | – | 4.014 |
| Network diameter | – | 10 |
| Average clustering coefficient | – | 0.116092 |
| P(k) | – | 1.1384·k-2.32 |
| R²adj | – | 0.98 |
|
| P(kout) | – | 0.3389·kout-2.01 |
| R²adj | – | 0.96 |
|
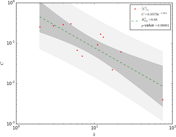
| C(k) | – | 0.9575·k-1.09 |
| R²adj | – | 0.68 |
|
| κ-value | – | 5 |
|