| Network global properties |
|---|
| Regulators (kout > 0) | – | 47 (12.6%) |
| Structural genes (kout = 0) | – | 325 (87.4%) |
| Undirected regulatory links | – | 561 |
| Directed regulatory interactions | – | 564 |
| Self-regulations | – | 15 (31.9%) |
| Maximum out-connectivity | – | 123 (33.1%) |
| Network density | – | 0.004076 |
| Weakly connected components | – | 10 |
| Genes in the giant component | – | 332 (89.2%) |
| Feedforward circuits | – | 102 |
| Complex feedforward circuits | – | 30 |
| 3-Feedback loops | – | 2 |
| Average path length | – | 3.285 |
| Network diameter | – | 10 |
| Average clustering coefficient | – | 0.101252 |
| P(k) | – | 0.7436·k-2.15 |
| R²adj | – | 0.97 |
|
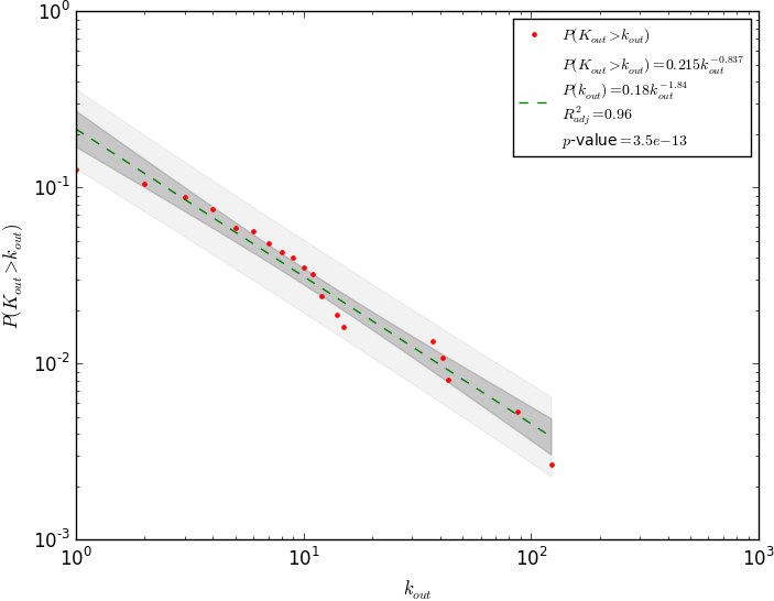
| P(kout) | – | 0.1799·kout-1.84 |
| R²adj | – | 0.96 |
|
| C(k) | – | 1.2763·k-1.05 |
| R²adj | – | 0.72 |
|
| κ-value | – | 8 |
|